VIEW

본문으로 바로가기 주 메뉴 바로가기

김치미생물 김치 연구자원의 가치 제고 및 활용 강화Bank of Kimchi Resources and Information

김치미생물

글자 크게 글자 작게 인쇄

박테리오파지

BKRI가 보유한 자원을 검색하고 온라인으로 분양신청을 하실 수 있습니다.

자원 상세 결과

미생물의 레이블, TAXONOMY, ORGANISM, WIKIM NUMBER, Source, 수집년도, 수집지역의 상세설명
TAXONOMY bacteriophage
ORGANISM Caudovircetes NCBI_NUMBER PV779201
WIKIM NUMBER phiLM0121_03 Source 배추김치
수집년도 2024.06 수집지역 국내산-경기도-화성

자원 배양 정보

미생물의 레이블, Medium, pH(수소이온농도), 배양온도(℃), 배양시간, 산소 요구성의 상세설명
Medium MRS agar Original host Leuconostoc mesenteroides WIKIM 0121
배양온도(℃) 28 배양시간 24시간

Basic table

basic table - item, values 의 상세설명
Item Values
Assembly methods SPAdes v. 3.15.0
Topology Linear
Genome_size(bp) 29307
Genome_coverage(fold)
DNA G + C (%) 36.2
Coding_sequences 47

균주 특성

  • 단일 단계 생장 곡선

    이미지
  • 숙주 부착능

    이미지
  • 외형

    이미지
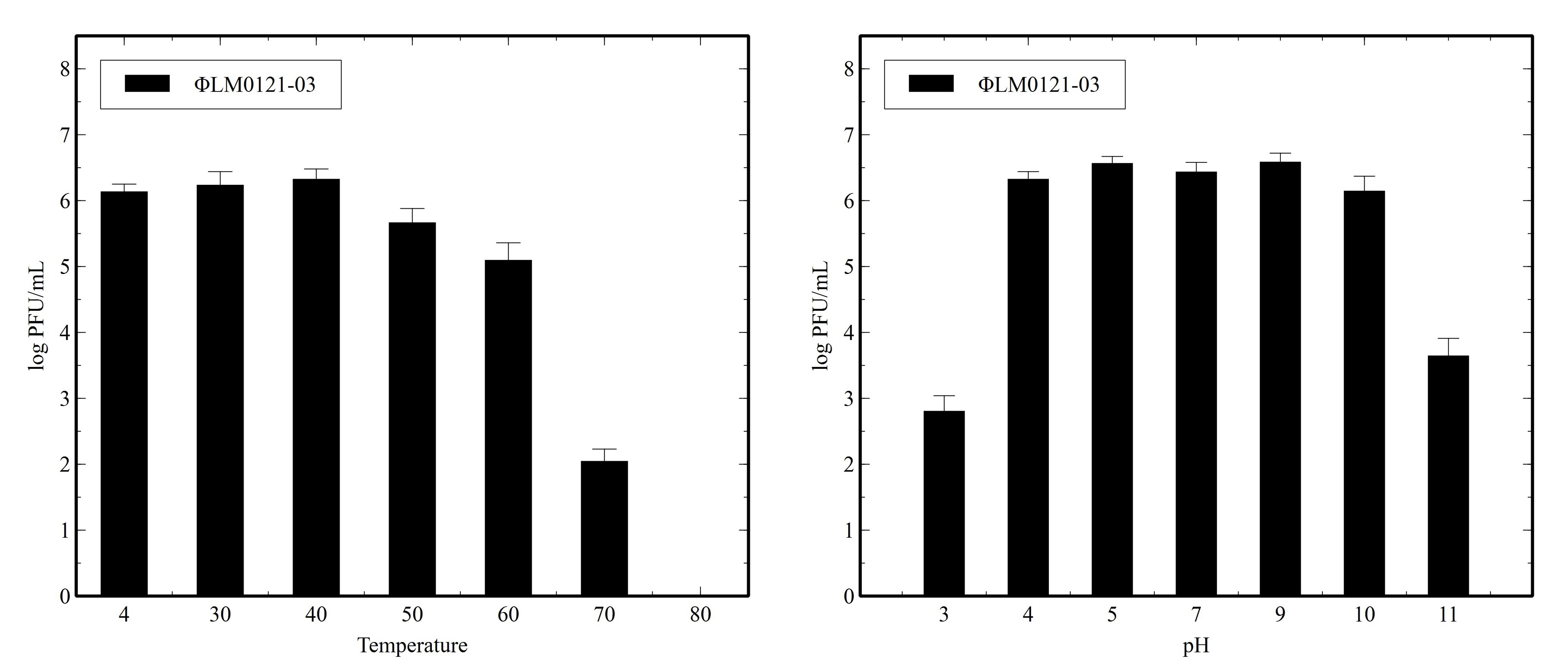
  • 스트레스 저항성 (열, pH)

    이미지

자원 정보

  • Graphic DNA MAP

    이미지
박테리오파지의 Annotation results, Whole Genome Sequence을 설명한 표 입니다.
Annotation results 다운로드
콘텐츠 만족도 조사

콘텐츠 만족도 조사 이 페이지에서 제공하는 정보에 대하여 만족하십니까?

만족도 선택

0/100

평균 0.0 0명 참여